Previous  |  Close  |  Next

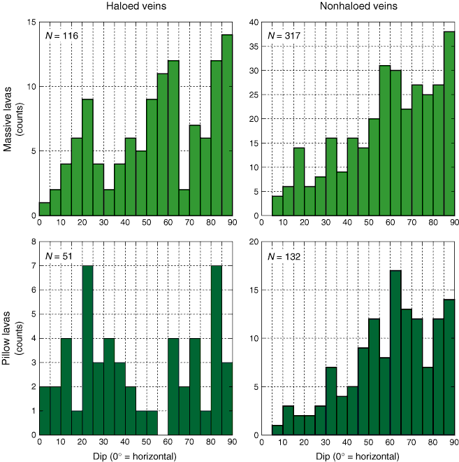
Figure F41. Comparative histograms showing the distribution of dips for haloed and nonhaloed veins and fractures in massive and pillow lava units.

 

 

Previous  |  Close  |  Next  |  Top of page