Previous   |    Close   |    Next

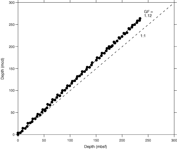
Figure F22. Meters composite depth versus meters below seafloor depth for tops of cores at Site U1304. The growth factor (GF) is the slope of the regression line for Sites U1302 and U1303 and for both sites combined. On average, the mcd of the spliced section is 12% greater than meters below seafloor.

Previous   |    Close   |    Next   |    Top of page