Previous   |    Close   |    Next

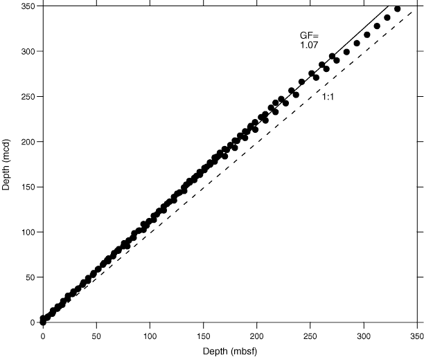
Figure F18. Meters composite depth versus meters below seafloor for tops of cores at Site U1308. The growth factor (GF = 1.07) is the slope of the regression line. On average, the mcd of the spliced section is 7% greater than mbsf.

Previous   |    Close   |    Next   |    Top of page