Previous   |    Close   |    Next

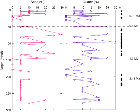
Figure F11. Relative abundances of sand-sized sediments and quartz from dominant lithologies in Hole U1314B. The occurrence of gravel-sized grains (dropstones) in Hole U1314B is shown as solid circles.

Previous   |    Close   |    Next   |    Top of page