Previous   |    Close   |    Next

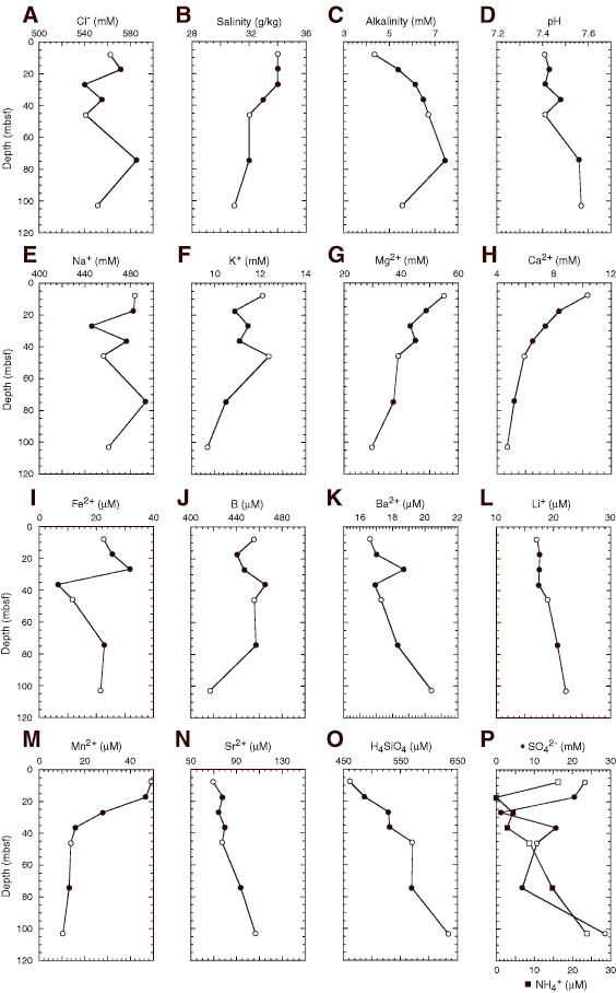
Figure F24. Downhole profiles of chemical constituents in interstitial waters from Hole U1314A. A. Chloride. B. Salinity, C. Alkalinity. D. pH. E. Sodium. F. Potassium. G. Magnesium. H. Calcium. I. Iron. J. Boron. K. Barium. L. Lithium. M. Manganese. N. Strontium. O. Silica. P. Sulfate and ammonium. Open symbols = samples obtained from cores showing flow-in.

Previous   |    Close   |    Next   |    Top of page