Previous   |    Close

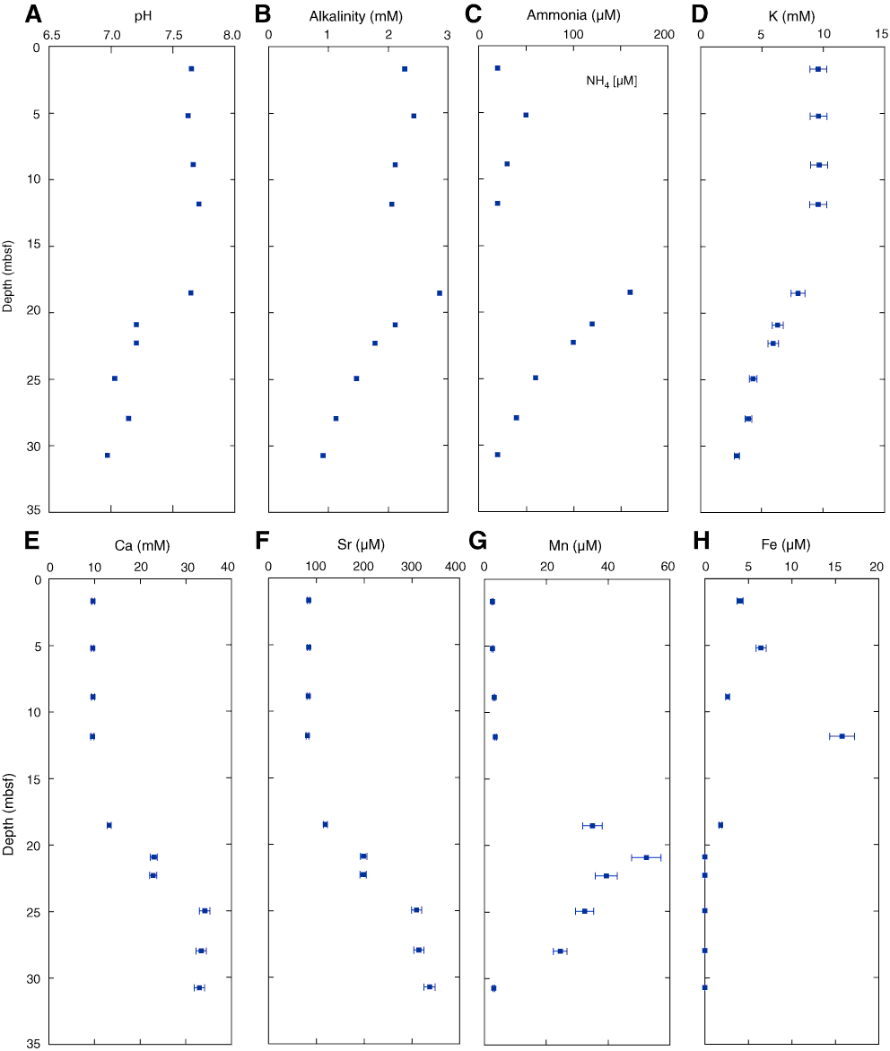
Figure F20. Interstitial water chemistry for Hole M0008A, showing depth profiles for (A) pH, (B) alkalinity, (C) ammonia, (D) potassium, (E) calcium, (F) strontium, (G) manganese, and (H) iron.

Previous   |    Close   |    Top of page