Previous   |    Close

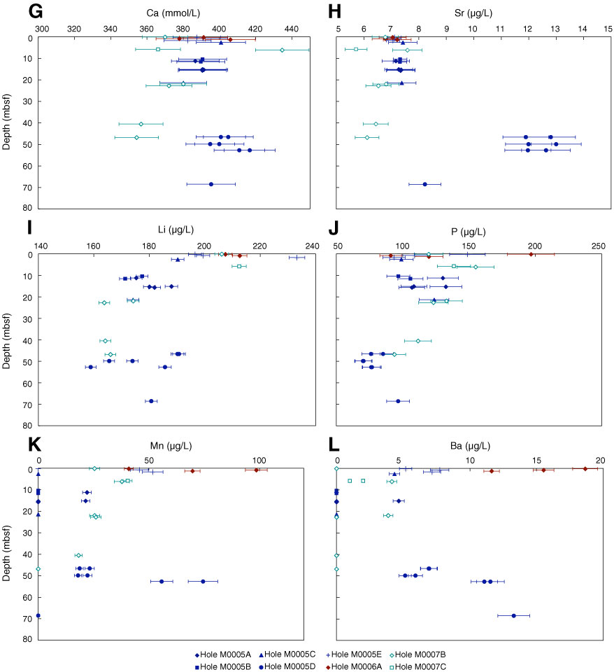
Figure F79 (continued). G. Calcium. H. Strontium. I. Lithium. J. Phosphorus. K. Manganese. L. Barium.

Previous   |    Close   |    Top of page