Previous   |    Close   |    Next

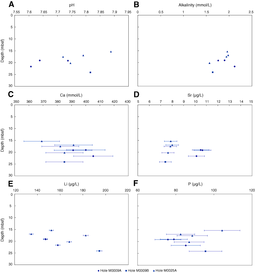
Figure F81. Tiarei Outer Ridge pore water chemicals. A. pH. B. Alkalinity. C. Calcium. D. Strontium. E. Lithium. F. Phosphorus. (Continued on next page.)

Previous   |    Close   |    Next   |    Top of page