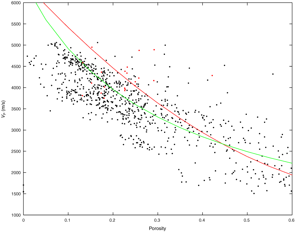
Figure F38. Cross plot of porosity with velocity for Site M0019. Solid lines refer to the Wyllie time average equation (red) and Raymer modified time average equation (green) for a matrix velocity of calcite (6530 m/s). Discrete measurements are superimposed (red circles).

Previous | Close | Next | Top of page