Previous   |    Close

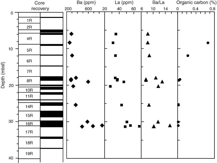
Figure F3. Plot of Ba, La, Ba/La, and organic carbon contents of the volcaniclastic sediments vs. depth, Hole M0008A.

Previous   |    Close   |    Top of page