Previous   |   Close   |   Next

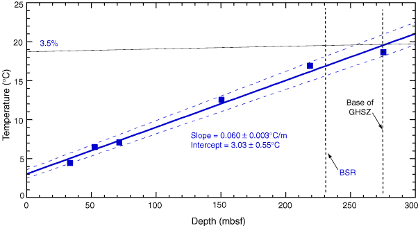
Figure F44. Apparent geothermal gradient at Site U1325. See text for further discussion of uncertainties. The stability boundary for gas hydrate at hydrostatic pressure is shown (calculated using CSMHY; Sloan, 1998) for the background salinity of pore water near the base of the gas hydrate stability zone (GHSZ) at this site, which was similar to seawater (3.5% NaCl). The bottom-simulating reflector (BSR) is predicted from seismic data. The base of the GHSZ is predicted from the thermal gradient.

Previous   |   Close   |   Next  |   Top of page