Previous   |   Close   |   Next

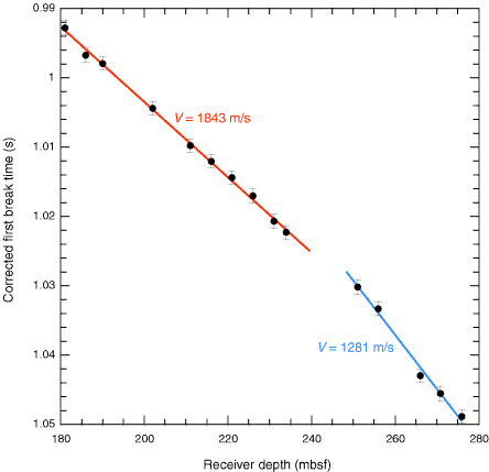
Figure F64. Time vs. depth plot of first break times in the Hole U1327D vertical seismic profile. The best-fit straight lines indicate two regions of high (1843 m/s) and low (1281 m/s) average interval velocity.

Previous   |   Close   |   Next  |   Top of page