Previous   |   Close   |   Next

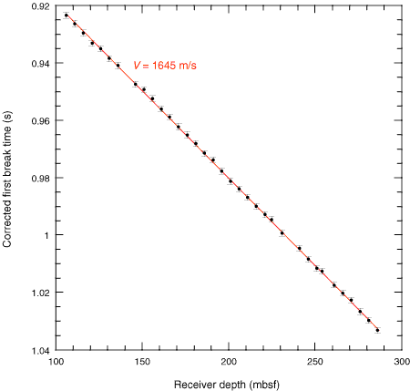
Figure F67. Time vs. depth plot of first break times in the Hole U1328C vertical seismic profile. The best-fit straight line indicates an average interval velocity (V) of 1645 m/s.

Previous   |   Close   |   Next  |   Top of page