Previous   |   Close   |   Next

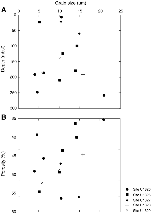
Figure F3. Relationships of grain size to (A) depth and (B) porosity at each site.

Previous   |   Close   |   Next  |   Top of page