Previous   |   Close   |   Next

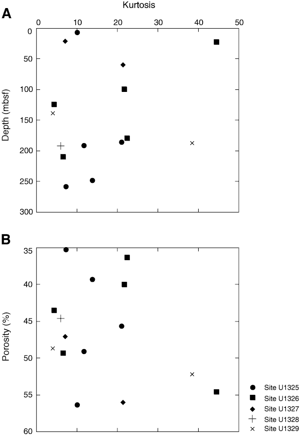
Figure F4. Relationships of kurtosis to (A) depth and (B) porosity at each site.

Previous   |   Close   |   Next  |   Top of page